Wohnimmobilien Marktbericht Deutschland 2014/2015 - page 4

DeutschlandsMarktfürWohnimmobilien
AnhaltenderNachfrageüberhang
Für denWohnimmobilienmarkt inDeutschland ist dieposi-
tive gesamtwirtschaftliche Entwicklung in der Bundes-
republik einer der entscheidendenFaktoren.Dieweiterhin
niedrigeArbeitslosenquote und das steigende verfügbare
Haushaltseinkommengekoppeltmit derNiedrigzinspolitik
der EuropäischenZentralbank halten dieNachfrage nach
Wohnimmobilienhoch. Insbesondere die imMarktbericht
von Engel &Völkers betrachteten Großstädte und kauf-
kraftstarken Standorte sind aufgrund steigender Bevölke-
rungs- undHaushaltszahlen vonWohnungsknappheit und
anziehendenWohnimmobilienpreisengekennzeichnet.
Preiswachstum im Neubausegment der Eigentums-
wohnungen
SteigendeBaukosten und höhere energetische Standards
wirken sich neben dem anhaltendenNachfragedruck auf
die Quadratmeterpreise von Eigentumswohnungen im
Neubausegment aus.TrotzderweiterhinhohenNachfrage
nachNeubauten inMetropolen, insbesondere imPremium-
segment, beobachtet Engel &Völkers bei Käufern eine
zunehmende Zurückhaltung, die teilweise sehr hohen
Preise zu zahlen. Die Spitzenquadratmeterpreise für
Wohnungen stellte Engel &Völkers in den „Big-Five“-
Städten fest.Münchenweist indiesemSegment zusammen
mit Hamburg die höchsten Preise auf. Hierwerden in der
Regel für die sehr gute Lage im Maximum bis zu
16.000EUR/m² aufgerufen, dicht gefolgt vonBerlinmit
bis zu 15.000EUR/m². Liebhaberobjekte erzielen verein-
zelt nochweitaus höherePreise. InHamburgverzeichnete
derGutachterausschuss 2013beispielsweise einenSpitzen-
preisvon22.500EUR/m². ImSegment derEin- undZwei-
familienhäuserwerden ebenfalls inMünchendie absoluten
Höchstpreisevonbis zu13Mio. EUR in sehr gutenLagen
aufgerufen. Durchschnittlich wird in der bayrischen
Hauptstadt für den Erwerb eines Einfamilienhauses
mehr als das Zehnfache des Jahreshaushaltsnettoeinkom-
mens aufgewendet, wie die PrognosAG für die Sparda-
Bank errechnete.DerDurchschnitt liegt inDeutschlandbei
dem Fünffachen des Jahreshaushaltsnettoeinkommens.
Aber auch inkleinerenkaufkraftstarkenStandortenwerden
mit bis zu 10Mio. EUR inStarnberg oder bis zu 5,5Mio.
EUR inBaden-Baden hohe Preisobergrenzen registriert.
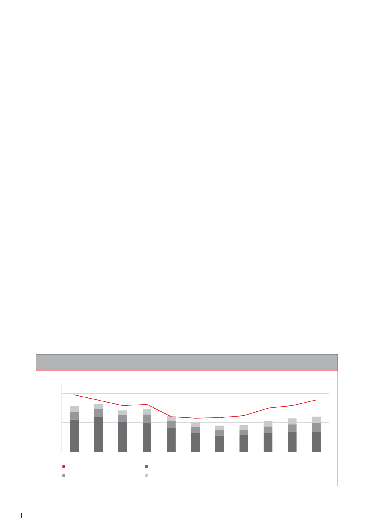
DynamischeEntwicklungderBaugenehmigungenund
-fertigstellungen
Die Politik reagiert in denBallungsräumen undUniversi-
tätsstädten auf die anhaltendeNachfrage im angespannten
Wohnimmobilienmarkt mit Mietpreisbremsen und Kap-
pungsgrenzen sowie einer forciertenNeubauentwicklung.
Diese Initiativen schlagen sich imAnstieg der Zahl der
Baugenehmigungenund -fertigstellungennieder.Während
dieZahl derBaugenehmigungen langeZeit rückläufigwar
und 2008 ihren Tiefpunkt erreichte, wurden 2013 in
Deutschland so viele Genehmigungen für den Bau von
Wohnungen erteiltwie seit zehn Jahrennichtmehr. Insge-
samt genehmigtendieBehördendenBauvon rund266.000
Wohnungen – daswaren knapp 29.000mehr als im Jahr
zuvor. Damit setzte sich der Trend der vergangenen Jahre
fort: 2010 hatte die Zahl der Baugenehmigungen für
Wohnungenum5,7% zugelegt, 2011 sogar um21,1%und
2012wiederum um 5,9%. BesondereRelevanz für diese
Entwicklung auf demWohnungsmarkt haben die größten
deutschen Städte Berlin, Hamburg, München, Köln,
Frankfurt amMain, Düsseldorf und Stuttgart.Alleine in
2008
2004
2003
2005
2006
2007
Quelle: StatistischesBundesamt
Baugenehmigungen
BaufertigstellungenEin- undZweifamilienhäuser
Anzahl
EntwicklungderBaugenehmigungenund -fertigstellungenvonWohnungen2003−2013
2009
2013
2012
2011
2010
BaufertigstellungenEigentumswohungen
BaufertigstellungenMehrfamilienhäuser
0
50.000
100.000
150.000
200.000
250.000
300.000
350.000
04
DeutschlandsMarkt fürWohnimmobilien
AnhaltenderNachfrageüberhang
1,2,3 5,6,7,8,9,10,11,12,13,14,...108
Powered by FlippingBook